2.8.2.2 Liquorice
Synonyms Glycyrrhiza; Liquorice root; Glycyrrhizae radix.
Biological Sources Liquorice is the dried, peeled or unpeeled, roots, rhizome or stolon of Glycyrrhiza glabra Linn., invariably known in commerce as Spanish liquorice, or of Glycyrrhizaglabra Linne. var Glandulifera Waldstein et Kitaibel, mostly known in commerce as Russian liquorice, or of other varieties of Glycyrrhiza glabra Linne., which produce a sweet and yellow wood, belonging to family Leguminosae.
The word Glycyrrhiza has been derived from the Greek origin that means sweet root; and glabra means smooth and usually refers to the smooth, pod-like fruit of this particular species. Nevertheless, the fruits of the glandulifera variety has a distinct gland like swellings.
Geographical Sources Liquorice is grown in the sub-Himalayan tracts and Baluchistan. It is cultivated on a large scale in Spain, Sicily and Yorkshire (England) G. glabra var violaceae is found in Iran; whereas G. glabra var glandulifera exclusively grows in Russia (the ‘Russian Liquorice’).
The following are the three commonly grown varieties of Glycyrrhiza glabra, namely:
(a) G. glabra var. violaceae (or Persian Liquorice): This specific species bears violet flowers,
(b) G. glabra var gladulifera (or Russian Liquorice): It has a distinct big stock together with a number of elongated roots, but it has not got any stolon, and
(c) G. glabra var. typica (or Spanish Liquorice): This specific plant bears only purplish-blue coloured papilionaceous flowers. It possesses a large number of stolons.
Preparation The roots are usually harvested after 3 to 4 years from its plantation when they mostly display enough growth. The rhizomes and roots are normally harvested in the month of October, particularly from all such plants that have not yet borne the fruits. thereby ascertaining maximum sweetness of the sap. The rootlets and buds are removed manually and the drug is washed with running water. The drug is first dried under the sun and subsequently under the shade till it loses almost 50% of its initial weight. The large thick roots of the Russian Liquorice are usually peeled before drying. It is an usual practice in Turkey, Spain and Israel to extract a substantial quantity of the drug with water, the resulting liquid is filtered and evaporated under vacuo and the concentrated extract is molded either into sticks or other suitable forms.
Description
Colour : Unpeeled Liquorice-Externally, yellowish brown or dark brown; and internally, yellowish colour
Odour : Faint and characteristic
Taste : Sweet
Size : Length = 20 to 50 cm; Diameter = 2 cm
Shape : Unpeeled drug—Straight and nearly cylindrical
Peeled drug—Mostly angular
Fracture : Fibrous in bark; and splintery in the wood.
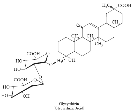
Chemical Constituents Glycyrrhiza (liquorice) comprises of a saponin like glycoside known as glycyrrhizin (or glycyrrhizic acid) as shown below:
Glycyrrhizin is found to be 50 times as sweet as sugar. Glycyrrhizin upon hydrolysis loses its sweet taste and gives rise to the aglycone glycyrrhetinic acid (glycyrrhetic acid) together with two moles of glucuronic acid. The former is a pentacyclic triterpene derivative of the b amyrin type. A host of other chemical constituents essentially include are namely: coumarin derivatives e.g., umbelliferone and herniarin; flavonoid glycoside e.g., liquiritoside; isoliquiritoside, liquiritin; isoliquiritin, rhanoliquiritin, and rhamnoisoliquiritin; asparagine; 22-33-dihyrostigmasterol; glucose; mannitol and about 20% of starch. Interestingly, carbenoxolone, which is an oleandane derivative is prepared from glycyrrhiza and possesses considerable mineralocorticoid activity. It is used as an anti-ulcer drug.
Chemical Tests
1. When sulphuric acid (80%) is added to a thick section of the drug or powder, it instantly produced a deep yellow colour.
Substituents/Adulterants Glycyrrhiza uralansis, also known as Manchurian Liquorice, which is pale chocholate brown in appearance having wavy medullary rays and exfoliated cork is mostly used as an adulterant for G. glabra. This particulr species is from sugar, but contains glycyrrhizin. Sometimes, the Russian Liquorice is also used as an adulterant, because the drug is purplish in appreance, has long roots but having no stolons.
Uses
1. Glycyrrhiza has demulscent and expectorant properties
2. It is used as a masking agent for bitter drugs in pharmaceutical formulations, such as: quinine, aloe, ammonium chloride etc.
3. Ammoniated glycyrrhiza is employed as a flavouring agent in beverages, pharmaceuticals and confectionary.
4. The inherent surfectant activity due to the presence of saponins helps to facilitate the absorption of poorly absorbed drugs, for instance: anthraquinone glycosides.
5. It is invariably added to beer to form stable and enhanced foaminess.
6. It imparts a distinct and characteristic bitter tastte to a number of beverages, such as: stout, root beer and porter.
7. The presence of glycyrrhetinic acid exert mineralocorticoid activity and hence it is used in the treatment of inflamations, rhematoid arthritis and Addison’s disease.
8. Liquorice is an important ingredient in ‘Liquorice compound powder’ wherein it augments the action of senna.
9. Liquorice liquid extract is employed as a foam stabilizer in the foam type-fire-extinguisher.
10. Liquorice liquid extract is used in the treatment of peptic ulcer.
11. In Europe the glycyrrhetic acid is employed exclusively in dermatological formulations for its remarkable antiinflammatory properties.
Caution As glycyrrhzin appreciably enhances sodium and fluid retention and promotes potassium depletion. Therefore, patients with history of either cardiac problems or hypertension must avoid consumption of signficant amount of liquorice.

