B. Cinchonine
Biological Source Cinchonine is obtained from a variety of cinchona bark, especially in the bark of Cinchona micrantha R. and P. belonging to family Rubiaceae.
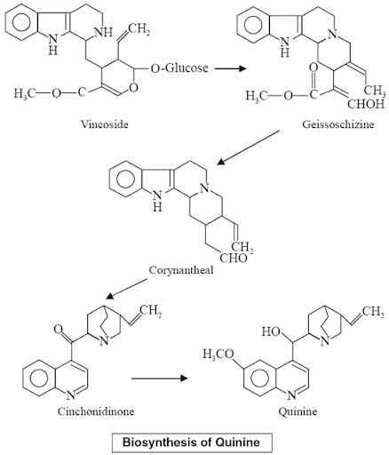
Chemical Structure Please see structure under Section 7.2.2.2, (9S-Cinchonan-9-ol) (C19H22N2O).
Isolation It has already been described under quinine Section ‘A’ above.
Characteristic Features
1. Its prisms, needles are obtained from ether and ethanol having mp 265°C.
2. It begins to sublime at 220°C.
3. Its specific rotation is [α]D +229° (in ethanol).
4. One gramme of it dissolves in 60 ml ethanol, 25 ml boiling ethanol, 110 ml chloroform and 500ml ether. It is practically insoluble in water.
Identification Tests
1. Cinchonine dihydrochloride (C19H22N2O.HCl): It is white or faintly yellow crystals or crystalline powder. It is freely soluble in water and ethanol.
2. Cinchonine hydrochloride dihydrate (C19H22N2O.HCl.2H2O): It is obtained as fine crystals having mp when anhydrous 215°C with decomposition. One g dissolves in 20 ml of water, 3.5ml of boiling water, 1.5 ml of ethanol, 20 ml of chloroform and slightly soluble in ether.
3. Cinchonine sulphate dihydrate [(C19H27N2O)2.H2SO4.2H2O)]: It occurs as lustrous, very brittle crystals having mp 198°C (when anhydrous). One g dissolves in 65 ml of water, 30 ml of hot water, 12.5 ml of ethanol, 7 ml of hot ethanol, 47 ml of chloroform and slightly soluble in ether.
